ChemNet
 
Химический факультет МГУ

Спектроскопия ЯМР высокого разрешения в органической и металлорганической химии.

Основные принципы эксперимента ЯМР

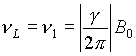
Условие резонанса реализуется в том случае, когда для стимулирования переходов с разных энергетических уровней ядра облучают радиочастотным полем с соответствующей частотой . Переходы становятся возможны при выполнении следующего условия:

(11)

Переходы с нижнего уровня на верхний соответствуют поглощению энергии, а с верхнего уровня на нижний – испусканию энергии. Т.к. , то преобладает процесс поглощения энергии облучающего поля. Интенсивность наблюдаемого сигнала поглощения пропорциональна , а следовательно, и полному числу спинов , т.е. концентрации ядер. Если же населенности равны, то сигнал не наблюдается, т.е. имеет место насыщение.

Из (9) и (11) получаем условие резонанса:

(12)

В тех случаях, когда , квантовая механика разрешает только те переходы, в которых меняется на единицу: (13).

Таким образом, переходы могут иметь место только между соседними энергетическими уровнями (т.е., например, для переход с на запрещен).