|
Учебные материалы по физической химии
Задачи по физической химии.Часть 2.Химическая кинетика. Электрохимия
Глава 1. Химическая кинетика
1. Основные понятия и постулаты
химической кинетики
Химическая кинетика - раздел физической химии,
изучающий скорости химических реакций. Основные
задачи химической кинетики: 1) расчет скоростей
реакций и определение кинетических кривых, т.е.
зависимости концентраций реагирующих веществ от
времени (прямая задача); 2) определение
механизмов реакций по кинетическим кривым (обратная
задача).
Скорость химической реакции описывает
изменение концентраций реагирующих веществ в
единицу времени. Для реакции
aA + bB + ... dD + eE
+ ...
скорость реакции определяется следующим
образом:
,
где квадратные скобки обозначают концентрацию
вещества (обычно измеряется в моль/л), t -
время; a, b, d, e - стехиометрические
коэффициенты в уравнении реакции.
Скорость реакции зависит от природы
реагирующих веществ, их концентрации,
температуры и наличия катализатора. Зависимость
скорости реакции от концентрации описывается
основным постулатом химической кинетики - законом
действующих масс:
Скорость химической реакции в каждый момент
времени пропорциональна текущим концентрациям
реагирующих веществ, возведенным в некоторые
степени:
,
где k - константа скорости (не зависящая от
концентрации); x, y - некоторые числа,
которые называют порядком реакции по веществам
A и B, соответственно. Эти числа в общем случае
никак не связаны с коэффициентами a и b в
уравнении реакции. Сумма показателей степеней x
+ y называется общим порядком реакции.
Порядок реакции может быть положительным или
отрицательным, целым или дробным.
Большинство химических реакций состоит из
нескольких стадий, называемых элементарными
реакциями. Под элементарной реакцией обычно
понимают единичный акт образования или разрыва
химической связи, протекающий через образование
переходного комплекса. Число частиц, участвующих
в элементарной реакции, называют молекулярностью
реакции. Элементарные реакции бывают только
трех типов: мономолекулярные (A B + ...), бимолекулярные (A + B D + ...) и
тримолекулярные (2A + B D + ...). Для элементарных реакций
общий порядок равен молекулярности, а порядки по
веществам равны коэффициентам в уравнении
реакции.
ПРИМЕРЫ
Пример 1-1. Скорость образования NO в реакции
2NOBr(г) 2NO(г) + Br2(г) равна 1.6. 10-4
моль/(л. с). Чему равна скорость реакции и
скорость расходования NOBr?
Решение. По определению, скорость реакции
равна:
моль/(л. с).
Из этого же определения следует, что скорость
расходования NOBr равна скорости образования NO с
обратным знаком:
моль/(л. с).
Пример 1-2. В реакции 2-го порядка A + B D начальные
концентрации веществ A и B равны, соответственно,
2.0 моль/л и 3.0 моль/л. Скорость реакции равна 1.2.
10-3 моль/(л. с) при [A] = 1.5 моль/л.
Рассчитайте константу скорости и скорость
реакции при [B] = 1.5 моль/л.
Решение. По закону действующих масс, в любой
момент времени скорость реакции равна:
.
К моменту времени, когда [A] = 1.5 моль/л,
прореагировало по 0.5 моль/л веществ A и B, поэтому
[B] = 3 – 0.5 = 2.5 моль/л. Константа скорости равна:
л/(моль. с).
К моменту времени, когда [B] = 1.5 моль/л,
прореагировало по 1.5 моль/л веществ A и B, поэтому
[A] = 2 – 1.5 = 0.5 моль/л. Скорость реакции равна:
моль/(л. с).
ЗАДАЧИ
1-1. Как выражается скорость реакции синтеза
аммиака 1/2 N2 + 3/2 H2 = NH3 через
концентрации азота и водорода? (ответ)
1-2. Как изменится скорость реакции синтеза
аммиака 1/2 N2 + 3/2 H2 = NH3, если
уравнение реакции записать в виде N2 + 3H2
= 2NH3? (ответ)
1-3. Чему равен порядок элементарных реакций:
а) Сl + H2 = HCl + H; б) 2NO + Cl2 = 2NOCl? (ответ)
1-4. Какие из перечисленных величин могут
принимать а) отрицательные; б) дробные значения:
скорость реакции, порядок реакции,
молекулярность реакции, константа скорости,
стехиометрический коэффициент? (ответ)
1-5. Зависит ли скорость реакции от
концентрации продуктов реакции? (ответ)
1-6. Во сколько раз увеличится скорость
газофазной элементарной реакции A = 2D при
увеличении давления в 3 раза?(ответ)
1-7. Определите порядок реакции, если
константа скорости имеет размерность л2/(моль2
.с). (ответ)
1-8. Константа скорости газовой реакции 2-го
порядка при 25 оС равна 103 л/(моль.
с). Чему равна эта константа, если кинетическое
уравнение выражено через давление в атмосферах?(ответ)
1-9. Для газофазной реакции n-го порядка nA B выразите
скорость образования B через суммарное давление.(ответ)
1-10. Константы скорости прямой и обратной
реакции равны 2.2 и 3.8 л/(моль. с). По какому
из перечисленных ниже механизмов могут
протекать эти реакции: а) A + B = D; б) A + B = 2D; в) A = B + D;
г) 2A = B.(ответ)
1-11. Реакция разложения 2HI H2 + I2 имеет 2-й
порядок с константой скорости k = 5.95.
10-6 л/(моль. с). Вычислите скорость
реакции при давлении 1 атм и температуре 600 К. (ответ)
1-12. Скорость реакции 2-го порядка A + B D равна 2.7.
10-7 моль/(л. с) при концентрациях
веществ A и B, соответственно, 3.0. 10-3
моль/л и 2.0 моль/л. Рассчитайте константу
скорости.(ответ)
1-13. В реакции 2-го порядка A + B 2D начальные концентрации
веществ A и B равны по 1.5 моль/л. Скорость реакции
равна 2.0. 10-4 моль/(л. с) при [A] =
1.0 моль/л. Рассчитайте константу скорости и
скорость реакции при [B] = 0.2 моль/л. (ответ)
1-14. В реакции 2-го порядка A + B 2D начальные концентрации
веществ A и B равны, соответственно, 0.5 и 2.5 моль/л.
Во сколько раз скорость реакции при [A] = 0.1 моль/л
меньше начальной скорости? (ответ)
1-15. Скорость газофазной реакции описывается
уравнением w = k. [A]2 . [B]. При
каком соотношении между концентрациями А и В
начальная скорость реакции будет максимальна
при фиксированном суммарном давлении? (ответ)
2. Кинетика простых реакций
В данном разделе мы составим на основе закона
действующих масс и решим кинетические уравнения
для необратимых реакций целого порядка.
Реакции 0-го порядка. Скорость этих реакций
не зависит от концентрации:
,
где [A] - концентрация исходного вещества.
Нулевой порядок встречается в гетерогенных и
фотохимических реакциях.
Реакции 1-го порядка. В реакциях типа A B скорость
прямо пропорциональна концентрации:
.
При решении кинетических уравнений часто
используют следующие обозначения: начальная
концентрация [A]0 = a, текущая
концентрация [A] = a - x(t), где x(t) -
концентрация прореагировавшего вещества A. В
этих обозначениях кинетическое уравнение для
реакции 1-го порядка и его решение имеют вид:
.
Решение кинетического уравнения записывают и в
другом виде, удобном для анализа порядка реакции:
.
Время, за которое распадается половина
вещества A, называют периодом полураспада t 1/2.
Он определяется уравнением x(t 1/2) = a/2
и равен
.
Реакции 2-го порядка. В реакциях типа A + B D + ...
скорость прямо пропорциональна произведению
концентраций:
.
Начальные концентрации веществ: [A]0 = a,
[B]0 = b; текущие концентрации: [A] = a- x(t),
[B] = b - x(t).
При решении этого уравнения различают два
случая.
1) одинаковые начальные концентрации веществ A и
B: a = b. Кинетическое уравнение имеет вид:
.
Решение этого уравнения записывают в различных
формах:
.
Период полураспада веществ A и B одинаков и
равен:
.
2) Начальные концентрации веществ A и B различны: a
b. Кинетическое
уравнение имеет вид:
.
Решение этого уравнения можно записать
следующим образом:
.
Периоды полураспада веществ A и B различны: .
Реакции n-го порядка nA D + ... Кинетическое
уравнение имеет вид:
.
Решение кинетического уравнения:
. (2.1)
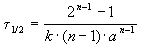
Период полураспада вещества A обратно
пропорционален (n-1)-й степени начальной
концентрации:
. (2.2)
ПРИМЕРЫ
Пример 2-1. Период полураспада
радиоактивного изотопа 14C - 5730 лет. При
археологических раскопках было найдено дерево,
содержание 14C в котором составляет 72% от
нормального. Каков возраст дерева?
Решение. Радиоактивный распад - реакция 1-го
порядка. Константа скорости равна:
.
Время жизни дерева можно найти из решения
кинетического уравнения с учетом того, что [A] = 0.72.
[A]0:
2720 лет.
Пример 2-2. Установлено, что реакция 2-го
порядка (один реагент) завершается на 75% за 92 мин
при исходной концентрации реагента 0.24 М. Какое
время потребуется, чтобы при тех же условиях
концентрация реагента достигла 0.16 М? Решение. Запишем два раза решение
кинетического уравнения для реакции 2-го порядка
с одним реагентом:
,
где, по условию, a = 0.24 M, t1 = 92 мин, x1
= 0.75. 0.24 = 0.18 M, x2 = 0.24 - 0.16 = 0.08 M.
Поделим одно уравнение на другое:
= 15,3 мин.
Пример 2-3. Для элементарной реакции nA B обозначим
период полураспада A через t 1/2, а время
распада A на 75% - через t 3/4. Докажите, что
отношение t 3/4 / t 1/2 не зависит от
начальной концентрации, а определяется только
порядком реакции n.Решение. Запишем два раза решение
кинетического уравнения для реакции n-го
порядка с одним реагентом:

и поделим одно выражение на другое. Постоянные
величины k и a из обоих выражений
сократятся, и мы получим:
.
Этот результат можно обобщить, доказав, что
отношение времен, за которые степень превращения
составит a и b , зависит только от порядка реакции:
.
ЗАДАЧИ
2-1. Пользуясь решением кинетического
уравнения, докажите, что для реакций 1-го порядка
время t x, за которое степень
превращения исходного вещества достигает x,
не зависит от начальной концентрации. (ответ)
2-2. Реакция первого порядка протекает на 30% за
7 мин. Через какое время реакция завершится на 99%? (ответ)
2-3. Период полураспада радиоактивного
изотопа 137Cs, который попал в атмосферу в
результате Чернобыльской аварии, - 29.7 лет. Через
какое время количество этого изотопа составит
менее 1% от исходного? (ответ)
2-4. Период полураспада радиоактивного
изотопа 90Sr, который попадает в атмосферу
при ядерных испытаниях, - 28.1 лет. Предположим, что
организм новорожденного ребенка поглотил 1.00 мг
этого изотопа. Сколько стронция останется в
организме через а) 18 лет, б) 70 лет, если считать,
что он не выводится из организма?(ответ)
2-5. Константа скорости для реакции первого
порядка SO2Cl2 = SO2 + Cl2 равна
2.2. 10-5 с-1 при 320 оС. Какой
процент SO2Cl2 разложится при
выдерживании его в течение 2 ч при этой
температуре?(ответ)
2-6. Константа скорости реакции 1-го порядка 2N2O5(г) 4NO2(г) + O2(г)
при 25 оС равна 3.38. 10-5 с-1.
Чему равен период полураспада N2O5?
Чему будет равно давление в системе через а) 10 с,
б) 10 мин, если начальное давление было равно 500 мм
рт. ст. (ответ)
2-7. Реакцию первого порядка проводят с
различными количествами исходного вещества.
Пересекутся ли в одной точке на оси абсцисс
касательные к начальным участкам кинетических
кривых? Ответ поясните.(ответ)
2-8. Реакция первого порядка A 2B протекает в газовой фазе.
Начальное давление равно p0 (B
отсутствует). Найдите зависимость общего
давления от времени. Через какое время давление
увеличится в 1.5 раза по сравнению с
первоначальным? Какова степень протекания
реакции к этому времени? (ответ)
2-9. Реакция второго порядка 2A B протекает в газовой
фазе. Начальное давление равно p0 (B
отсутствует). Найдите зависимость общего
давления от времени. Через какое время давление
уменьшится в 1.5 раза по сравнению с
первоначальным? Какова степень протекания
реакции к этому времени? (ответ)
2-10. Вещество A смешали с веществами B и C в
равных концентрациях 1 моль/л. Через 1000 с осталось
50% вещества А. Сколько вещества А останется через
2000 с, если реакция имеет: а) нулевой, б) первый, в)
второй, в) третий общий порядок?(ответ)
2-11. Какая из реакций - первого, второго или
третьего порядка - закончится быстрее, если
начальные концентрации веществ равны 1 моль/л и
все константы скорости, выраженные через моль/л и
с, равны 1? (ответ)
2-12. Реакция
CH3CH2NO2 + OH- H2O + CH3CHNO2-
имеет второй порядок и константу скорости k
= 39.1 л/(моль. мин) при 0 оС. Был
приготовлен раствор, содержащий 0.004 М нитроэтана
и 0.005 М NaOH. Через какое время прореагирует 90%
нитроэтана? (ответ)
2-13. Константа скорости рекомбинации ионов H+
и ФГ- (фенилглиоксинат) в молекулу НФГ при 298
К равна k = 1011.59 л/(моль. с).
Рассчитайте время, в течение которого реакция
прошла на 99.999%, если исходные концентрации обоих
ионов равны 0.001 моль/л. (ответ)
2-14. Скорость окисления бутанола-1
хлорноватистой кислотой не зависит от
концентрации спирта и пропорциональна [HClO]2.
За какое время реакция окисления при 298 К пройдет
на 90%, если исходный раствор содержал 0.1 моль/л HClO
и 1 моль/л спирта? Константа скорости реакции
равна k = 24 л/(моль. мин). (ответ)
2-15. При определенной температуре 0.01 М раствор
этилацетата омыляется 0.002 М раствором NaOH на 10% за
23 мин. Через сколько минут он будет омылен до
такой же степени 0.005 М раствором KOH? Считайте, что
данная реакция имеет второй порядок, а щелочи
диссоциированы полностью.(ответ)
2-16. Реакция второго порядка A + B P проводится в
растворе с начальными концентрациями [A]0 =
0.050 моль/л и [B]0 = 0.080 моль/л. Через 1 ч
концентрация вещества А уменьшилась до 0.020
моль/л. Рассчитайте константу скорости и периоды
полураспада обоих веществ. (ответ)
*2-17. Скорость автокаталитической реакции A P
описывается кинетическим уравнением w = k.
[A]. [P]. Решите это кинетическое
уравнение и найдите зависимость степени
превращения от времени. Начальные концентрации:
[A]0 = a, [P]0 = p. (ответ)
*2-18. Автокаталитическая реакция A P описывается
кинетическим уравнением: d[P]/dt = k[A]2[P].
Решите это уравнение при начальных
концентрациях [A]0 = a и [P]0 = p.
Рассчитайте время, при котором скорость реакции
достигнет максимума. (ответ)
*2-19. Автокаталитическая реакция A P описывается
кинетическим уравнением: d[P]/dt = k[A][P]2.
Решите это уравнение при начальных
концентрациях [A]0 = a и [P]0 = p.
Рассчитайте время, при котором скорость реакции
достигнет максимума. (ответ)
|