Вариант 19
1. Функция Гамильтона пружины имеет вид:
H(q,p) = T + U = p2/2m
+
q2/2,
где q - смещение пружины, p - импульс, m
- ее масса,
- упругая
постоянная. В состоянии равновесия <q> = 0,
<p> = 0, поэтому
<
q2> = <q2>,
<
p2>
= <p2>.
В силу теоремы о вириале и теореме о равнораспределении
<T> = <p2>/2m = kT/2,
<U> =
<q2>/2
= kT/2,
и поэтому:
<
q2> = kT/
, <
p2> = 2mk.
2. Молекулярная электронная сумма по состояниям, в которой энергия отсчитывается от нулевого уровня, равна:
Qel = g0 + g1 exp(-e /kT).
Электронный вклад в теплоемкость дается соотношением
CV,el = 2NkT (
lnqel/
T)V
+ NkT2 (
2lnqel/
T2)V.
Имеем:
(
lnQel/
T)V = g1
(e /kT2) [g0 exp(e /kT) + g1]-1,
(
2lnQel/
T2)V
= - 2g1 (e /kT3) [g0 exp(e /kT)
+ g1]-1 +
+ (e /kT2)2 g0g1 exp(e /kT)
[g0 exp(e /kT) + g1]-2
Следовательно,
CV,el = 2NkTg1 (e /kT2)
[g0 exp(e /kT) + g1]-1 + NkT2
{-2g1 (e /kT3) [g0 exp(e /kT)
+ g1]-1 +
+ (e /kT2)2 g0g1 exp(e /kT)
[g0 exp(e /kT) + g1]-2} =
= Nk (e /kT)2 (g1/g0 ) exp(e
/kT) [exp(e /kT) + (g1/g0 )]-2.
Условие экстремума электронной теплоемкости имеет вид:
(
lnCel/
T) = - 2/T - e /kT2
+ 2(e /kT2) [1 + (g1/g0 ) exp(-e /kT)]-1
= 0,
или:
(g1/g0) exp(-e /kT) = [(e /kT) - 2] / [(e /kT) + 2],
что эквивалентно выражению:
![]()
3. Поступательный вклад:
![]()
2.35 107
Ftr = - RT ln(Qtr/NA ) - RT = -44546 Дж/моль
Utr = (3/2)RT = 3718 Дж/моль
Str = R ln(Qtr/NA) + (5/2)R = 161.9 Дж/(моль. K)
Вращательный вклад:
![]()

F = - RT ln(Qr) = -16753 Дж/моль
Ur = RT = 2478 Дж/моль
Sr = R ln(Qr) + R = 64.5 Дж/(моль. К)
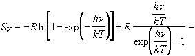
Колебательный вклад:
![]()
- 168 Дж/моль
473 Дж/моль
2.1 Дж/(моль K)
Ответ:
F = -44546 - 16753 - 168 = -61467 Дж/моль, G = F + PV = F + RT =-58988 Дж/моль,
U = 3718 + 2478 + 473 = 6670 Дж/моль, H = U + PV = 9149 Дж/моль,
S = 161.9 + 64.5 + 2.1 = 228 Дж/(моль. К)