Реакции

Молекулярность реакции – число молекул, участвующих в элементарном акте реакции. В отличие от порядка реакции, эта величина – целая и положительная.

Реакции необратимые – реакции, в которых общая скорость процесса определяется скоростью прямой реакции (см. также ур-ние реакции кинетическое)

Реакции сложные:

обратимые – реакции, в которых скорость прямой и обратной реакций соизмеримы;

параллельные – реакции, в которых взятые вещества реагируют одновременно в двух или более направлениях;

последовательные – реакции, протекающие через ряд стадий, в каждой из которых претерпевает превращение продукт, образовавшийся на предыдущем этапе.

Уравнение реакции

Кинетическое уравнение (*)

Решение кинетического ур-ния

обратимая р-я

,
параллельная

[A]= [A]o-x =

[B]=

[C]=,

последовательная р-я

ABС



[A] =

[B] =

[C]=

(*) здесь x - количество вещества А, прореагировавшего к моменту времени t.

Цепные реакции (ц.р.)- сложные реакции, протекающие через ряд регулярно повторяющихся элементарных реакций с участием радикалов, атомов или ионов. В ц.р. выделяют три стадии: зарождения цепи, развитие ее и обрыв. Энергия активации ц.р. в основном определяется EА зарождения цепи. Звено цепи - это совокупность последовательных элементарных актов, приводящая к возрождению первоначально вошедшего в реакцию активного центра. Длиной цепи называют число полных звеньев, приходящихся в среднем на каждый исходный свободный радикал, она равна отношению скорости образования продукта к скорости образования активных частиц. Ц.р. называют неразветвленными, если в процессе развития цепи число свободных валентностей в звене цепи остается постоянным; если же их количество увеличивается - реакции определяют как разветвленные.

Элементарные реакции - реакции, протекающие в одну стадию, механизм которых передается стехиометрическим уравнением.

Система термодинамическая (т.с.)– материальный объект, выделенный из внешней среды с помощью реально существующей или воображаемой граничной поверхности и способный обмениваться с другими телами энергией и (или) веществом. Состояние т.с. характеризуется совокупностью термодинамических переменных (параметров состояния).

Cистема открытая – т.с., которая может обмениваться веществом с другими системами;
закрытая – т.с., которая не может обмениваться веществом с другими системами;
изолированная – т.с., которая не может обмениваться ни энергией ни веществом с другими системами;
гетерогенная – т.с., состоящая из отдельных систем, разграниченных поверхностями раздела, на которых происходит скачкообразное изменение свойств;
гомогенная – т.с., между любыми частями которой нет поверхностей раздела, и свойства меняются монотонно.

Скорость реакции

скорость реакции общая [[концентрация]. [время]-1] – изменение количества реагирующих веществ в единицу времени в единице реакционного пространтва; зависит от природы веществ, их концентрации, температуры, присутствия катализаторов. Для химической реакции

aA + bB + cC+....  pP + qQ +....

=...

если = const, =...

Скорость химической реакции в данный момент времени пропорциональна произведению текущих концентраций реагирующих веществ, возведенных в некоторые степени (закон действующих масс): w = k. [A]a[B]b[C]c.

скорость реакции по веществу [[концентрация]. [время]-1] – изменение количества этого вещества в единицу времени в единице объема:

, при = const ;

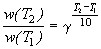
температурная зависимость - для большинства реакций скорость увеличивается в 2 4 раза при нагревании на 10o С (правило Вант-Гоффа):

.

В общем случае w =.

Состояние стандартное (с.с.) – состояние термодинамической системы, при котором значения некоторых термодинамических функций принимаются за начало отсчета для этих функций.

Для индивидуальных твердых и жидких веществ за с.с. при температуре Т принята модификация, устойчивая при данной Т и Рo  = 1.013. 105 Па;

для газа с.с. - гипотетическое (или реальное) состояние, при котором газ, находясь при Рo  = 1.013. 105 Па, подчиняется законам идеальных газов;

для растворов используют симметричную (1) и несимметричную (2) систему сравнения. (1) - за с.с. берут состояние соответствующих индивидуальных веществ при тех же Т и Р и в том же фазовом состоянии, что и раствор; (2) - с.с. растворенного в-ва - состояние компонента в бесконечно разбавленном растворе, а с.с. растворителя - состояние индивидуального в-ва.

Степень диссоциации – отношение числа молекул, распавшихся на ионы, к общему числу молекул. Для бинарного слабого электролита может быть выражена через константу диссоциации Кд (закон разведения Оствальда), концентрацию с (разведение V) и эквивалентную электропроводность :

,

Степень превращения i отношение количества молей i-го вещества, вступившего в реакцию (x), к исходному числу молей этого вещества. Для реакции

a A + b B Image1376.gif (69 bytes) C : , .

Для реакций любого типа максимальный выход продукта реакции достигается тогда, когда исходные вещества взяты в стехиометрических количествах.

Расчет по табулированным значениям констант равновесия Ка:

  1. реакции без изменения числа молекул: Ka KKP Kc
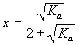
  2. Прим.: для реакции A + Image1376.gif (69 bytes) C;    = 0; Ka=, ,
    (здесь x - не мольная доля, а количество вещества в молях). В данном примере (при delta.uc.gif (63 bytes) nu.lc.gif (53 bytes)  = 0) состав реакционной газовой смеси не зависит от давления.

  3. реакции с изменением числа молекул

Прим.:
для реакции 3 A + BImage1376.gif (69 bytes) C; delta.uc.gif (63 bytes)nu.lc.gif (53 bytes)   = -2; K = KP(P)2

K=, Kа=, , где

(Image1377.gif (845 bytes)не зависит от единиц измерения и численно совпадает с давлением, выраженным в атмосферах). Выход продукта зависит от общего давления.

Расчет по константам скорости (см. реакции сложные).