|
Учебные материалы/ Органическая химия / Карбоновые кислоты и их производные
И.Г.Болесов, Г.С.Зайцева карбоновые кислоты и их производные
(синтез, реакционная способность, применение в органическом синтезе)
КОНТРОЛЬНАЯ РАБОТА N 2 (вопросы с 18-38)
18. Известно, что кислотность неразветвленных
алкановых кислот изменяется в сравнительно
узком интервале значений рКа:от 4.7 до 5.0,
если переходить от уксусной кислоты к масляной,
валериановой и т.д. [муравьиная кислота
представляет собой исключение: ее кислотность
(рКа 3.7) более чем на порядок выше, по
сравнению с указанными кислотами]. Если же мы
рассмотрим кислотность разветвленных
карбоновых кислот, то обнаружим, что их
кислотность меняется в бo льшем диапазоне и в тем
бo льшей степени, чем ближе к карбоксильной
группе углеводородная цепь будет разветвлена.
Например, по сравнению с уксусной кислотой (ее рКа
4.7) 2-трет-бутил-2,4,4-триметилпентановая
кислота фактически не проявляет кислотных
свойств (ее рКа 7.0). Какие факторы, по Вашему
мнению, могут так резко повлиять на кислотность
разветвленной алкановой кислоты?
(ответ)
19. Аминокислота 1, один из четырех
известных энантиомеров природной аминокислоты
метанопролина. Какова, по Вашему мнению, причина
(или причины) того, что для соединения с тремя
хиральными центрами в природе найдены лишь
четыре изомера. Какими, по Вашему мнению, они
могли бы быть? Назовите их по правилам IUPAC.
(ответ)
20. Предскажите структурный и
стереохимический результат присоединения
галогенов к следующим непредельным кислотам:
21. Непродолжительное нагревание
раствора соли алифатической иодокарбоновой
кислоты 1 сопровождается
деиододекарбоксилированием и завершается
образованием непредельного соединения 2.
Какие факторы, по Вашему мнению, предопределяют
такие мягкие условия элиминирования? Для
сравнения следует заметить, что в сходных
условиях иодоалканы и карбоновые кислоты с тем
же или близким числом атомов углерода
оказываются вполне устойчивыми.
(ответ)
JACS, 1972, 94, 4978; J.Chem.Educ. 1963, 40, 212.
22. Нагревание водного раствора соли
дибромокислоты 1 в присутствии мольного
эквивалента едкого натра (100 oC, 2 ч) приводит
к образованию кетокислоты 2, выделенной при
подкислении раствора. Предложите схему,
объясняющую полученный результат.(ответ)

23. Предскажите структурный и
стереохимический результат реакции лактона
1 с метилатом натрия в метаноле.
(ответ)
24. Способность -гидроксикарбоновых
кислот терять карбоксильную функцию при
нагревании в отсутствии каких-либо реагентов или
в присутствии концентрированной серной кислоты
и превращаться в производные альдегидов или
кетонов часто используется в препаративных
целях. Например, при обработке моногидрата
лимонной кислоты (1) 20%-ным олеумом при -5? 0 оС,
нагревания при 30 оС до полного выделения
окиси углерода и последующей обработки
реакционной смеси с выходом 93%-ным выделено
соединение 2 (С5Н6О5).
Спектр ПМР соединения 2 [(CD3)2SO, , .м. д.]: 9.9 с (шир) (3Н); 3.56 (1Н); 2.09 с (2Н)
(енольная форма).
Предложите схему механизма такого превращения.
(ответ)
25. Оптически чистый L-аланин (1) при
действии азотистой кислоты, генерированной из
нитрита натрия и соляной кислоты, превращается в -хлоропропионовую кислоту (2),
которая почти полностью сохраняет конфигурацию
исходной аминокислоты. Объясните полученный
результат.
(ответ)
Org.Synth.Coll. Vol. 8, 119 (1993)
26. Сольволиз солей -галогенокарбоновых
кислот (А) в слабо щелочных растворах
приводит к производным -гидроксикарбоновых
кислот (Б) с сохранением конфигурации
реакционного центра:

Какие факторы предопределяют найденный
стереохимический результат?(ответ)
27. Установлено, что соединение 1 проявляет
высокую кислотность, близкую к кислотности
серной кислоты (pK1 1.5; pK2 3.5). Какие
факторы, по Вашему мнению, предопределяют такие
свойства 3,4-дигидрокси-3-циклобутендиона-1,2 (1)?

28. Приведенные ниже реакции, в которых
соли , -дибромоалкановых
кислот превращаются в бромоалкены и их
производные, протекают при непродолжительном
нагревании водных растворов:
28.1. С6H5CH(Br)CH(Br)COONa C6H5CH=CHBr
28.2. CH3CH(Br)CH(Br)COONa CH3CH=CHBr
Предложите реакции, с помощью которых из
доступных соединений можно получить указанные
выше соли , -дигалогенокарбоновых
кислот. Какие особенности строения исходных
соединений предопределяют легкое образование
галогеноалкенов? Какова, по Вашему мнению,
стереохимия образующихся галогеноалкенов?
29. Бициклическое соединение 1
(хинуклидон) своими химическими свойствами
напоминает скорее кетон, чем амид. Например, в
реакции с гидроксиламином соединение 1
образует оксим. Какие факторы, по Вашему мнению,
предопределяют такое поведение амида 1 ?
(ответ)
30. Известно, что трет-бутиловый спирт
взаимодействует с ацетонитрилом при нагревании
в присутствии разбавленной серной кислоты,
образуя N-трет-бутилацетамид:

Предложите схему механизма, по которой
образуется замещенный ацетамид. (ответ)
31. Предскажите строение циклического
гетероциклического соединения, образующегося из
2-метилпентан-2,4-диола и ацетонитрила при
нагревании их смеси в присутствии разбавленной
серной кислоты. (ответ)
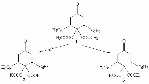
32. Исходя из известных данных о легко
протекающем гидролизе замещенных малоновых
эфиров при обработке последних спиртовым
раствором едкого кали, можно было ожидать, что
кетодиэфир 1 в указанных условиях даст
дикалиевую соль 2. Однако в действительности
гидролиз кетодиэфира 1 метанольным раствором
едкого кали сопровождался раскрытием
шестичленного цикла и завершился образованием
дикалиевой соли непредельной кетодикислоты 3.
Каковы причины столь глубоких изменений скелета
при гидролизе диэфира 1?
(ответ)
33. Предложите схему получения
метилового эфира 3-бромопропановой кислоты из
янтарной кислоты.
34. При действии брома на серебряную
соль 2-метил-3-бутеновой кислоты наряду с
ожидаемым бромидом 1 образуется также
изомерный ему бромид 2. Предложите схему
механизма такого превращения.
(ответ)
35. Дополните приведенную ниже схему
синтеза [1.1.1]пропеллана (3) из
бицикло[1.1.1]пентан-1,3-дикарбоновой кислоты (1).
(ответ)
36. В ИК спектре соединения с
эмпирической формулой C4H7N
присутствует полоса ~ 2100 см-1. В спектре ПМР
того же соединения содержатся дублет и септет с
соотношением интенсивностей 6:1. Какая структура,
по Вашему мнению, наиболее полно соответствует
приведенным спектральным данным? (ответ)
37. На основании приведенных ниже
спектральных данных (ИК и ПМР) предложите
структуру соединения, имеющего эмпирическую
формулу С6H11BrO2.
ИК спектр(n , см-1): 1730 (С=О);
спектр ПМР ( , м.д., стандарт - Me4Si):
1.35 т (J = 7 Гц, 3Н), 1.9 с (6Н), 4.2 к. (J = 7 Гц, 2Н).
(ответ)
38. Восстановление (S)-2-хлоропропановой
кислоты с помощью алюмогидрида лития в
эфирном растворе приводит к образованию
оптически активного 2-хлоропропанола-1.
Полученный хлорогидрин при нагревании с водным
едким кали превращается в оптически активный
эпоксид. Напишите пространственные структуры
промежуточного и конечного соединений и
назовите их по номенклатуре IUPAC.
(ответ)
|