|
Воспоминания о П.А.Ребиндере Е.Д. Яхнин
Несколько шагов с П.А.Ребиндером в науке и жизни
Академик Петр Александрович Ребиндер – мой патрон, глава коллоидно-химической науки в СССР, но более всего интересный человек, личность.
Высокий, скорее крупный, слегка полноватый и чрезвычайно живой, походкой, жестикуляцией, лицом и особенно глазами, словом, – всем, что в нем было. Близкие друзья называли Ребиндера Пьером. Он действительно был колоритен во всем и внешне вполне соответствовал толстовскому персонажу. Говорил блистательно: о науке и людях, о женщинах и собаках, о почтовых марках и грибной охоте, о живописи и путешествиях; казалось не было тем, в которые он не погружался бы со всей страстью. Единственно, чего он избегал, – политики; вероятно, были для того давние причины. Был всегда первым в застольном веселье. Знал множество остроумных литературных миниатюр и любил провозглашать их в виде тостов и делал это артистично.
Вспоминаю его общение с окружающими на конференциях, семинарах, в быту. Он был невероятно, я бы сказал, недопустимо доброжелателен, чем, конечно, беззастенчиво пользовались. И все же его доброжелательность, готовность не отговариваться, а действительно помочь любому, обратившемуся к нему, поражала. Это было совершенно необычно и это было, вероятно, самой выдающейся чертой его характера.
На его 60-летии, на ученом совете в Институте физической химии АН СССР Б.В. Дерягин закончил свою речь обращением в зал:
– Пусть все, кому Петр Александрович ни разу не помог в чем-либо, останутся сидеть, а те, кто хоть раз пользовался его доброжелательностью и помощью, встанут!
Весь зал встал. А было в зале не меньше, чем человек 250. При этом Ребиндер не был безобидным добрячком, он умел и давать сдачи. Как-то при обсуждении ситуации с кадрами, возникшей из-за не слишком высокой порядочности тогдашнего директора ИФХ академика В.И.Спицына, возмущенный и даже разъяренный, хотя и пытавшийся сдержать себя, он произнес: "Я совсем не христосик! Не надо наивно думать, что я все могу прощать", – и он не простил.
Доброжелательность Петра Александровича я почувствовал и на себе. Наша первая встреча окончилась для меня вполне благоприятно несмотря на то, что держался я подчеркнуто самоуверенно, и это должно было быть воспринято Ребиндером как признак невоспитанности и даже развязности. Я не сознавал еще тогда общепринятого представления о дистанции, разделяющей маститого ученого и начинающего, совсем еще не ученого, молодого человека.
Он с воодушевлением и даже страстью раскрывал передо мной широчайшую палитру проблем коллоидной химии и новой науки – физико-химической механики. Очень интересно было слушать его рассказ о разрушении материалов под действием ничтожных количеств поверхностно-активных веществ (ПАВ) о возможности модифицирования с помощью ПАВ поверхности дисперсных частиц и управления взаимодействием между ними, о структурных превращениях в дисперсных системах с поразительным примером затвердевания 1%-ной водной суспензии бентонита, о достижении максимальной прочности цементных тел через разрушение контактов, образующихся на ранней стадии структурообразования, о предельном наполнении полимеров, об усиливающем действии наполнителей и о многом другом.
Он делился со мной идеями щедро, без оглядки. В последующем я много раз убеждался в том, что такая щедрость была для него характерна и в науке, и в жизни. В эту первую нашу встречу он разговаривал со мной как с начинающим, но как с равным. Делиться идеями со всяким и всегда (я понял это позже) ему было интересно и необходимо. Страсть к научному общению была его очень сильной стороной. Вероятно, такая страсть есть необходимая предпосылка становления личности настоящего ученого, в отличие от тьмы "ученых", которые приходили в науку по разнарядке сверху или конъюнктурно.
Позже я обратил внимание на замечательную уважительность общения Ребиндера даже с начинающими молодыми сотрудниками. Он разговаривал, приподнимая собеседника в уважении к самому себе, заставляя его поверить в свои силы. Это резко отличало его от тех "очень важных" ученых, которые, как бы невзначай, ставили собеседника на подобающее место, где-то там в подготовительном научном классе.
Закончил Петр Александрович научную часть нашей первой беседы некоторым самоосуждением:
- Каждый ученый стремится создать свою научную школу, - тут он перечислил ряд ученых: Фрумкина, Семенова, Каргина и еще нескольких, не помню кого именно, у которых есть школа и добавил - а у меня школы пока нет.
Смысл был вроде бы в том, что он, принимая меня к себе в отдел, надеется на меня и приглашает в число тех, кто эту школу будет составлять.
Он принял меня к себе в отдел дисперсных систем в Институте физической химии АН СССР. Это было осенью 1958 г.
С тех пор я часто встречался с ним и постоянно обсуждал новые экспериментальные данные и возникающие идеи. Мое становление происходило в общении с Петром Александровичем Ребиндером, я причисляю себя к его многочисленным ученикам и с удовольствием делюсь со всеми своими впечатлениями об этом человеке.
Часто, когда рассказывают о П.А.Ребиндере, в первую очередь вспоминают различные "бытовые" эпизоды из его жизни, например, опоздания даже на ответственные встречи. Возникает образ предельно неорганизованного человека с барскими привычками, не уважающего своих коллег, что вызывает у слушателей не столько веселость, сколько недоумение: почему знавшие П.А.Ребиндера относятся к нему с почитанием?
У многих из нас временами, особенно в роли рассказчика, проявляется слабость именно к "жареному". Поэтому рассказчик не добирается до главного, высокого, истинно ребиндеровского. Надо, однако, признать, что и умолчание о некоторых не самых привлекательных особенностях его неординарной личности сильно обеднило бы его образ.
Приведу случаи, свидетелем которых я был сам.
Кому-то Петр Александрович назначил встречу в своем кабинете в ИФХ в 11 часов утра для обсуждения важного научного вопроса. Ребиндер приезжает в 3 часа дня и сообщает, что он, к сожалению, задержался, но то, что предполагалось обсудить, очень интересно и важно и поэтому предлагает ожидавшему его человеку поехать с ним сейчас на дачу и поговорить в машине. Счастливый, уже почти собеседник, уже давно отчаявшийся человек соглашается и еще через час уже в машине в течение 10-15 минут, хотя и с множеством 10-15-минутных отвлечений, обсуждает жизненно важный для него и интересный для Петра Александровича вопрос.
Александр Наумович Фрумкин и Петр Александрович Ребиндер, встретившись в Луцино во время вечерней прогулки, решили воспользоваться хорошей погодой и отправиться на следующий день за грибами.
-Да! - воскликнул Петр Александрович - но за грибами надо идти рано. Давайте встретимся в 6 утра.
-Ну что Вы, Петр Александрович, Вы же не встанете. - отреагировал Фрумкин.
-Ну хорошо, в 8, не позже! - согласился Ребиндер.
- Вы же будете готовы часов в 11,- убежденно и с еле заметной улыбкой возразил Фрумкин, - поэтому выберем компромиссный вариант - 10 часов.
Ребиндер согласился. Утром мы с Александром Наумовичем ровно в 10.00 подошли к даче Ребиндера. Петр Александрович уже встал и завтракал.
П. А. Ребиндер сознавал этот недостаток, но ничего с собой не мог поделать, свыкся с ним и, по-видимому, по крайней мере подсознательно, ощущал его как некоторую отличающую его от других людей свою особенную особенность.
Большинство смирялось с этим недостатком главы коллоидной химии, однако не все. На встречу с офицерско-преподавательским составом Военной академии химической защиты Петр Александрович Ребиндер приехал с опозданием на 30 минут. Присутствовавшими впоследствии это опоздание оценивалось как преднамеренное и резко осуждалось.
Да! Петр Александрович был неорганизованным, разбрасывающимся человеком, но среди всех особенностей проявления его личности в науке и в жизни это было второстепенным и даже третьестепенным. Это мешало ему, но не подавляло в нем крупного ученого. Он не сумел добиться создания института, в котором были бы широко развернуты исследования, объединенные проблемами физико-химической механики, хотя и мечтал об этом. Он редко сам занимался конкретной организацией исследований; в отделе дисперсных систем в ИФХ и на кафедре коллоидной химии в МГУ за него это делали его ученики и друзья: Б.Я.Ямпольский, Е.Е.Сегалова, В.И.Лихтман, А.Б.Таубман, С.Я.Вейлер, Г.И.Фукс и др. Но он был переполнен идеями, всегда стремился передать их ученикам, оплодотворял идеями многие научные направления. В конце концов, именно это приводило к организационным результатам: во многих городах республик СССР возникали новые научные группы, лаборатории, институты.
П.А.Ребиндер был блестящим оратором. На конгрессе по ПАВ в Барселоне в 1968г. ему была предоставлена честь прочитать первый основополагающий доклад, на который по регламенту отводилось 45 минут. Он говорил (на французском языке, которым владел не хуже русского ) полтора часа. У председателя, по-видимому, даже не возникла мысль о нарушении регламента, это было выразительно, интересно и по существу.
Его блестящие лекции, отличавшиеся глубоким проникновением в физическую сущность явлений, почти всегда сопровождались неожиданными идеями, методическими находками. Приведу два характерных примера.
Так, описывая процессы седиментации, он подчеркивал их соответствие противоположно направленным процессам диффузии и показывал, как в результате седиментационно-диффузионного равновесия устанавливается строго определенное распределение частиц по высоте. При переходе к высокодисперсным системам, в пределе к молекулярной дисперсности, получается барометрическая формула Лапласа. Этот подход хорошо использован его учениками Е.Д.Щукиным, А.В.Перцовым и Е.А.Амелиной при изложении соответствующего материала в написанном ими учебнике : "Коллоидная химия". Обычно даже высококвалифицированные гидродинамики, объясняя студентам закономерности, определяющие движение жидкостей, выписывают на доске критерий Рейнольдса Rе чисто формально и сообщают как следует его использовать в разных случаях. П.А.Ребиндер наглядно вскрывал физическую сущность критерия Rе. Он получал его сопоставлением кинетической энергии движения жидкости с диссипирующейся энергией вязкого течения. Когда первая превосходит вторую, то есть когда рассеивание запасенной в жидкости энергии не успевает происходить только за счет вязкого трения, возникает дополнительный канал рассеивания - вихреобразование. И ламинарный поток переходит в турбулентный.
Кинетическая энергия единицы массы жидкости пропорциональна V2q, (V-скорость потока, q- плотность жидкости), энергия вязкого течения - (V/d)h
(d-линейная характеристика поперечного сечения потока, h
-вязкость). При делении первого выражения на второе скорости сокращаются и получается критерий Rе = Vdq/.h
Именно раскрытие П.А.Ребиндером физической сущности критерия Rе побудило меня сопоставить возникающее при деформации жидкости напряжение с ее прочностью и получить выражение, которое может быть интерпретировано как критерий, определяющий переход от режима деформации слоя жидкости к ее диспергированию.

где W - скорость деформирования жидкости,
и h
-ее поверхностная энергия и вязкость, L-некоторая геометрическая характеристика деформируемого слоя жидкости.
Я привел этот пример для демонстрации того, как методология научного мышления П.А.Ребиндера влияла на его учеников, в частности на меня.
П.А. Ребиндер представлял мои статьи в "Доклады АН СССР", определял возможность их публикации в "Коллоидном журнале", но никогда не присоединял своей фамилии к моей, хотя в ряде случаев его обсуждение существа полученных результатов давало ему полное право считаться соавтором. Я много раз пытался настаивать на его соавторстве, подчеркивая его определяющее идейное первенство в данном исследовании, но он решительно отказывался. Позднее он объяснял свой отказ тем, что предполагал быть официальным оппонентом на моей докторской защите, чему могли бы воспрепятствовать совместные публикации. Полагаю, что в этом вопросе определенную роль играла щепетильность Петра Александровича как настоящего русского интеллигента, которая была для него совершенно обязательной.
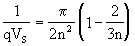
В 1963 году я рассказал П.А. Ребиндеру о выведенной мной формуле, связывающей прочность дисперсной структуры (Рm) с прочностью единичных контактов между частицами (р, в единицах силы) и плотностью их упаковки через удельный объем структуры (Vs, см3 /г):
(1)
Здесь D- средний размер частиц, К - коэффициент пропорциональности, Vm и Рr-экспериментально определяемые константы.
Вывод этой формулы, в сущности, был инициирован П.А.Ребиндером, который во многих своих выступлениях неоднократно подчеркивал важность учета плотности упаковки частиц. В упомянутой работе плотность упаковки учитывалась удельным объемом структуры Vs, см3/г. Я не знал, что аналогичная работа, вероятно также инициированная Ребиндером, была в тот же период сделана Е.Д.Щукиным, который записал полученный результат в виде формулы:
(2)
где r- средний радиус частиц, а n- определяется по величине пористости П из уравнения
(3)
Формула Щукина была опубликована в совместной работе с П.А.Ребиндером и Л.А.Марголис в "Докладах АН СССР", (т.154, 695, 1964). Моя работа в соавторстве с А.Б.Таубманом по представлению П.А.Ребиндера была опубликована в следующем выпуске журнала "Доклады АН СССР", (т.155, 179, 1964).
Одна задача и две различных формулы. Петра Александровича это обеспокоило, однако, несмотря на различие конечных выражений, он интуитивно сразу понял, что в сущности эти формулы идентичны. Формула (1) ему нравилась больше, вероятно, из-за простоты и отсутствия в ней функции n(П). Он много раз преобразовывал ее и настаивал, чтобы я показал идентичность обеих формул. Я это сделал, хотя и не опубликовал. Петр Александрович познакомился с проведенным сопоставлением в моей диссертации и сказал: "Вот это то, что я и хотел, чтобы было сделано".
Так как это прямая идея П.А.Ребиндера, я счел уместным здесь это сопоставление воспроизвести.
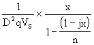
Основной посылкой у Е.Д.Щукина и у меня при выводе формул (2) и (1) была пропорциональность прочности дисперсной структуры (Рm) числу работающих контактов (z) и их средней прочности (р, в единицах силы).
Pm~
zp (4)
Число работающих контактов задается размером и упаковкой частиц и может быть связано с пористостью (П), объемным заполнением системы твердой фазой (Ф) или удельным объемом структуры (Vs).
При выводе формулы (1) рассматривалась модель структуры, образованной многократным повторением одной и той же элементарной структурной ячейки произвольной формы. Предполагалось, что при изменении плотности структуры (то есть П, Ф или Vs) изменяется лишь размер ячеек, а их форма сохраняется. Основным параметром структурной ячейки является ее некоторый условный линейный размер, соответствующий размеру средней цепочки из n частиц одного итого же диаметра D. Каждая ячейка образована несколькими цепочками. Так как объем ячейки и число входящих в нее частиц определяются ее линейным размером, можно связать Vs (а также П и Ф) с числом элементарных ячеек, образующих единицу объема структуры и затем с числом работающих контактов.
При описании не очень рыхлых, реальных структур нельзя пренебрегать особым положением узловых частиц, на что обратил мое внимание Е.Д.Щукин.
Поэтому число работающих контактов оказывается равным:
(5)
где j- число узловых частиц в элементарной ячейке и х - доля объема ячейки, приходящегося на одну цепочку.
В результате исходной формулой, из которой в дальнейшем получена формула (1) оказывается:
(6)
Именно этот результат, хотя он и записан в более обшей форме, идентичен результату, полученному параллельно Е.Д.Щукиным, который использовал для анализа проблемы кубическую модель из сферических частиц, вытянутых в трех взаимно перпендикулярных направлениях и пересекающихся друг с другом в вершинах кубической ячейки, в узловых частицах.
Устанавливая связь между измеряемым параметром П (пористостью структуры) и фактором n, точно соответствующим нашему параметру n, то есть числу частиц, укладывающихся вдоль некоторой цепочки средней длины, автор формулы (2) пришел к выражению (3).
Учитывая, что 1-П=Ф, а Ф=1/qVs получаем:
(A)
Разрешаем последнее относительно n2
(Б)
Подставляя n2 в выражение z=1/4r2n2, полученное Е.Д.Щукиным прямым подсчетом контактов на единице сечения кубической модели структуры и умножив его на среднюю прочность единичных контактов р, приходим к формуле:
(B)
которая идентична формуле (6) для кубической структурной ячейки.
Убедимся в этом. При составлении структуры из частиц определенной формы в выражение (6) должен войти дополнительный множитель, который для сферических частиц равен 6/
. Кроме того, для модели с кубическими ячейками х=1/3 и j=1. Поэтому выделив из коэффициента К в соотношении (6) множитель 6/
. И подставив вместо х и j их численные значения, получим:
(6.1)
Эта формула действительно идентична формуле (В), так как для модели с кубической ячейкой К1 =1 и D2 = 4r2, что предполагал и требовал доказать П.А.Ребиндер.
Формулы (6) и (В) не могут быть использованы для практических расчетов прочности, поскольку в них сохранился неизмеряемый параметр n, который не мог быть выражен явно через измеряемые параметры (Vs и П). Необходимо было найти способ исключения n из уравнений (6.1) и (В). Эта процедура была выполнена мной и Щукиным различными способами.
Введение величины Vs под знак скобки позволило показать, что для структур с реальной плотностью выражение (Vs- 2Vs/3n) может быть заменено разностью Vs -Vm, где Vm - постоянная величина, равная удельному объему структуры с предельной упаковкой частиц. Потребовалось также ввести поправку на нереализуемую прочность очень рыхлых структур. Окончательный вид формулы в моем варианте:
или (7)
или в варианте, предложенном П.А.Ребиндером:
(7)
E.Д.Щукин пошел по другому пути. По сути был проведен численный расчет функции n(Vs), только вместо Vs в качестве измеряемого параметра была использована пористость П. При использовании формулы (2) для расчетов значения n определяются из графика функции n(П) в соответствии с уравнением (3).
Формулы (7) и (В) неоднократно с успехом использовались различными авторами для расчета прочности дисперсных структур и прочности контактов между структурообразующими частицами. В работе М.И.Нейман, Е.Д.Яхнин, Коллоид. Журнал., т.ХLI, N5, 1025-28, 1979), прочность контактов между частицами природного и гидрофобизованного мелового наполнителя оценивалась с помощью обеих формул.
Порядок значений р, полученных при использовании формулы (7) и (В), а также соотношение между р для разных образцов мела оказались одинаковыми. Это подтверждает правильность интуитивной оценки, данной П.А.Ребиндером, обоим результатам, а также свидетельствует о практической идентичности обеих формул и правомерности их применения для расчетов.
Отмечу также, что инициированная Ребиндером работа по сопоставлению обеих формул не свелась просто к некоторым алгебраическим преобразованиям. Анализ процесса разрушения дисперсной структуры привел к необходимости более глубокого проникновения в его механизм и учета широкого распределения контактов по их прочности. Разрушение дисперсной структуры происходит вследствие последовательного выхода из строя контактов разной прочности, начиная с самых слабых. Несмотря на это оказалось, что в формулы (1) и (2) можно подставлять при расчетах некоторое среднее значение р, которое определяется формой кривой распределения контактов по их прочности (Е.Д.Яхнин, "Доклады АН СССР", т.178, N1, 152, 1968.
Вернусь снова к личности Петра Александровича. Он был исключительно оригинален в суждениях и поступках. Однажды во время одной из наших встреч в Луцино Петр Александрович внезапно прервал свой монолог о лиофильности дисперсных систем и с восторгом стал наблюдать за велосипедными эволюциями нескольких шумных девиц и парней из соседних дач. Петр Александрович стал говорить о Фрумкине и произнес: "А.Н.Фрумкин, конечно, первый физико-химик в СССР, а , может быть, и во всем мире, но я не могу понять как это он до сих пор не научился кататься на велосипеде?!"
Далее он счел необходимым высказаться и о Н.Н. Семенове:
- Н.Н. Семенов, конечно , гениальный ученый , но как можно дожить до такого возраста и не знать иностранных языков?!
Вообще его высказывания отличались не только парадоксальностью, в них проявлялась его исключительная наблюдательность и тонкое восприятие русского языка. Так, на совещании, посвященном геологическим ресурсам различного рода наполнителей, я обратил внимание на неправильности русского языка в речи профессора Петрова, в слове добыча он делал ударение на первом слоге. Петр Александрович возразил мне и разъяснил, что, если речь идет о полезных ископаемых, так и следует говорить, добыча нефти, добыча угля и т.д. Слово добыча, с ударением на втором слоге - другое слово, оно используется при описании охотничьей добычи, добыча тигра, волка и т.д.
Просматривая по дороге на дачу газету со списком лиц, выдвинутых в члены-корреспонденты и действительные члены АН СССР, он вдруг с восторгом воскликнул:
-Посмотрите, как замечательно соответствуют кандидаты своим претензиям! По отделению права будут баллотироваться Строгачев и Филькин!
Я могу ошибиться, это было давно, он назвал еще несколько фамилий и все они удивительным образом соответствовали их профессиональным академическим претензиям. П.А.Ребиндер, конечно, ничего не имел против этих достойных людей, но, -такова многозначность и острота русского языка.
Вспоминаю также его щепетильность в вопросах этикета. Он не мог не сделать замечания сотруднику, появившемуся на работе без галстука. Войдя в столовую Института физической химии и увидев, что я разрезаю большую отбивную на кусочки (я полагал, что делаю это вполне культурно, ножом и вилкой), он громогласно заметил:
- Что это Вы занимаетесь мясозаготовками? Следующий кусочек полагается отрезать только после того, как Вы справились с предыдущим.
Однажды он представил меня какой-то молодой, но уже известной женщине. Я несколько растерялся, не зная, следует ли протянуть новой знакомой руку. Петр Александрович, по-видимому, заметил это и тут же пришел мне на помощь. Обратившись к моей новой знакомой, он разъяснил, что при знакомстве первой должна проявить инициативу для рукопожатия женщина.
Петр Александрович объединял окружающих его сотрудников, учеников, последователей, инженеров - технологов, использовавших его работы в производстве, и даже оппонентов в связанную знаниями и деятельностью коллоидно-химическую общественность. Пусть эпизоды, о которых я вспомнил, вместе со всем, что есть в этой книге, способствуют сохранению объединяющего нас всех яркого образа П.А.Ребиндера, неистового поборника науки, любителя жизни, прекрасного человека.
Яхнин Евгений Давыдович
доктор химических наук, профессор, зав. отделом НИИ пленочных материалов и искусственной кожи
|