|
Кафедра органической химии
Лаборатория Биологически Активных Органических Соединений (БАОС)
Заведующий лабораторией - Белоглазкина Елена Кимовна ,
доктор химических наук, профессор.
Телефон: (495) 939-40-20
E-mail: bel@org.chem.msu.ru

Из истории лаборатории
Презентация лаборатории
1. Реакции электрофильного присоединения к непредельным соединениям под действием активированных слабых электрофилов (проф. Н.В. Зык, снс О.Б. Бондаренко, снс А.Ю. Гаврилова, мнс М.А. Нечаев. Комнаты 415, 527).
- Электрофильное нитрозирование циклопропанового кольца, сопровождающееся последующей гетероциклизацией:

Впервые предложен ряд новых нитрозирующих систем и реагентов, полученных путем активации слабых электрофилов, таких как этилнитрит, нитрозилхлорид, оксидами серы(IV, VI) и кислотами Льюиса, что позволило получить оригинальные результаты в этой области.
Публикации по теме:
- Oksana B. Bondarenko, Anna Yu. Gavrilova, Dilovar S. Murodov, Semen S. Zlotskii, Nikolai V. Zyk, Nikolai S. Zefirov. Regiospecificity of the nitrosation of di(gem-dichlorocyclopropanes) obtained from butadiene and isoprene. Tetrahedron Letters 2013, 54, 1845-1848

- O.B. Bondarenko, A.Yu. Gavrilova, V.V. Polunina, Z.A. Starikova, N.V.Zyk, N.S. Zefirof, Unexpected Mode of Reactivity in Nitrosation of cis-1,1-Dichloro-2,3-diphenylcyclopropane with NOCl 2SO3. Mendeleev Commun., 2009, 19, p. 12-13.

- Н.В. Зык, О.Б. Бондаренко, А.Ю. Гаврилова, А.О. Чижов,
Н. С. Зефиров, гем-Дихлоралкилциклопропаны в реакции с NOCl·2SO3: Синтез алкилзамещенных 5-хлоризоксазолов. Изв. АН. Cер. хим., 2011, 2, с. 321.
- O.B. Bondarenko, A. Yu. Gavrilova, D. S. Murodov, N. V. Zyk, N. S. Zefirov. New system for nitrosation of alkyl-substituted gem-dichlorocyclopropanes. Mendeleev Commun. , 2011, 21, p. 188.
- И.В. Морозов, О.Б. Бондаренко, Е.В. Карпова, А.С. Прядченко,
Ю.М. Коренев, С.И. Троянов, Н.В. Зык, Гексахлоростаннат нитрозония: синтез, кристаллическое строение и нитрозирующая активность в реакции с арилциклопропанами. Изв. АН. Cер. хим., 2010, 11, с. 1872-1874
О.Б. Бондаренко, А.Ю. Гаврилова, Д.С. Муродов, Н.С. Зефиров, Н.В. Зык. Превращения гем-дихлорарилциклопропанов в реакции с NOCl·2SO3. Синтез 3-арил-5-хлоризоксазолов. Журнал Орг. Химии. 2013. 49, стр. 198
Дипломные работы:
- Виноградов А.А. (2012 г) "Превращения 1,1-дихлор-, 1,1-дибром- и 1-бром-1-фторциклопропанов в условиях реакции нитрозирования"
- Панфилова А.В. (2013 г) "Взаимодействие гем-дигалогенциклопропанов с нитрозирующими реагентами"
- Гараев З.М. (2014 г) "Синтез галогенизоксазолов на базе циклопропанов"
Кандидатские диссертации:
- Муродов Д.С. (2013 г) "Изучение синтетических возможностей нитрозирования гем-дигалогенциклопропанов: синтез 5-галогенизоксазолов"
- Реакции электрофильного присоединения азот-, сера- и селеносодержащих электрофилов в присутствии активирующих сореагентов (триоксида серы или галогенидов/оксогалоганидов серы, фосфора или кремния:


Впервые предложен простой, удобный и универсальный метод синтеза замещенных сульфидов, селенидов, нитратов, нитритов, галогенидов с использованием в качестве активирующих слабые электрофилы сореагентов доступных неорганических соединений - триоксида серы и галогенсодержащих производных фосфора. Данные реакции существенно расширяют <ассортимент> известных электрофильных реагентов, позволяющих за одну стадию синтеза ввести в молекулу органического соединения сразу две различные функциональные группы.
Публикации по теме:
- Н. В. Зык, А. Ю. Гаврилова, О. А. Мухина, О. Б. Бондаренко, Н. С. Зефиров. Кислоты Льюиса как со-реагенты в реакциях сульфенилирования // ЖОрХ. 2011. Т. 47. Вып. 4. С. 603-604.
- Н. В. Зык, О. Б. Бондаренко, А. Ю. Гаврилова, А. О. Чижов, Н. С. Зефиров гем-Дихлоралкилциклопропаны в реакции с NOCl.2SO3: синтез алкилзамещенных 5-хлоризоксазолов // Изв. АН. Серия химическая. 2011. № 2. С. 321-327.
- Зык Н.В., Гаврилова А.Ю., Нечаев М.А., Мухина О.А., Бондаренко О.Б., Зефиров Н.С. Аминосульфенаты в реакциях электрофильного присоединения // ЖОХ. 2012. Т. 82. № 11. С.1829-1831.
- Зык Н.В., Гаврилова А.Ю., Нечаев М.А., Мухина О.А., Бондаренко О.Б., Зефиров Н.С. Двухстадийное получение b-галогеналкилсульфонамидов из алкенов // ЖОрХ. 2013. Т. 49. вып.12. С.1846-1848.
- Н. В. Зык, А. Ю. Гаврилова, М. А. Нечаев, О. Б. Бондаренко, Н. С. Зефиров Взаимодействие непредельных соединений с системой тиобисамин-SOHal2 // Вестн. Моск. Ун-та. Сер.2.Химия. 2014.Т.55. №6. С. 337-350.
Дипломные работы:
- Мануилов А. Ю. (2011 г) "Изучение синтетических и стереохимических аспектов реакции нитрозирования олефинов"
- Архипенко С. Ю. (2012 г) "Производные 7-азабицикло[2.2.1]гепт-2,5-диена в реакциях электрофильного присоединения"
- Кузнецова О. А. (2012 г) "Изучение реакций электрофильного присоединения к производным 2-азабицикло[2.2.1]гепт-5-ена"
- Апаршов Д. А. (2013 г) "Производные 7-азанорборнадиена в реакциях электрофильного присоединения"
2. Разработка методологических основ получения и синтез новых азотсодержащих гетероциклических соединений (внс Юровская М.А., снс Карчава А.В., мнс Мелконян Ф.С., мнс Алексеев Р.С., инж Овчаренко А.А. Комната 406).
- Разработка универсальных и эффективных методов синтеза замещенных индолов и изомерных азаиндолов, а также других азотсодержащих гетероциклов:

Научная новизна поставленной задачи заключается в том, что известные к настоящему времени методы синтеза изомерных азаиндолов не являются универсальными, характеризуются в каждом отдельном случае специфическим подбором условий реакции (растворителей, катализаторов и т.п.), что существенно затрудняет получение разнообразных производных соединений этого класса для широкого биологического скрининга. Мы предлагаем два принципиально новых подхода к решению задачи создания универсальных и эффективных методов синтеза соединений этого класса - использование в реакции Фишера N-оксидов изомерных пиридилгидразонов кетонов и распространение разработанного нами ранее метода построения замещенных индолов для синтеза производных изомерных азаиндолов на основе катализируемого солями меди и железа внутримолекулярного образования связи С-N.
Публикации по теме:
- F.S.Melkonyan, A.V.Karchava, M.A.Yurovskaya, J .Org. Chem., 73, 4275 (2008)

- F.S. Melkonyan, D.E. Kuznetsov, M.A. Yurovskaya, A.V. Karchava, RSC Adv, 3, № 22, 8388-8397 (2013)
- Ferdinand Melkonyan, Artiom Topolyan, Alexander Karchava, Marina Yurovskaya. A general synthesis of N-substituted 1,4-benzoxazine- and 1,4-benzothiazine-2-carboxylates via copper-catalyzed intramolecular amination of arylbromides. Tetrahedron 67 6826-6832 (2011)

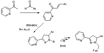
- Разработка методов синтеза новых производных пиразола. Поиск новых методов синтеза бис-гетероциклических производных пиразолов (в том числе гидрированных), содержащих биологически значимые функциональные группы, а также их предшественников.
(снс Свиридова Л.А., нс Ворожцов Н.И. Комната 402).
В группе имеется большой опыт работы по синтезу пиразолинов-2, в том числе и производных, содержащих функциональные заместители в различных положениях пиразолинового кольца. Это позволяет планировать синтез неизвестных ранее замещенных пиразолинов-2 как на основе замещенных бензальдегидов, так и на основе гидразина и замещенных арилгидразинов:


Публикации по теме:
- 1. А. В. Садовой, А. Э. Ковров, Г. А. Голубева, Л. А. Свиридова, ХГС, 1505 (2010)
- L. A. Sviridova, A. N. Tavtorkin, K. A. Kochetkov, Amino acids, 37, 125 (2009)
- L. A. Sviridova, G. A. Golubeva, A. N. Tavtorkin, K. A. Kochetkov, Amino acids, 43, 1225 (2012)

3. Моделирование активных центров металлоферментов и создание их синтетических аналогов (проф. Белоглазкина Е.К., доц. Мажуга А.Г., доц. Антипин Р.Л., мнс Юдин И.В. Комнаты 416, 432, 529)
Поиск низкомолекулярных модельных систем, способных осуществлять различные процессы синтетической органической химии с эффективностью и селективностью, сравнимой с биохимической. В большинстве случаев максимальная активность металлокомплексного катализатора обеспечивается правильным подбором органического лиганда, чаще всего - гетероциклического, обеспечивающего близкую к наблюдаемой в природном ферменте геометрию координационного окружения иона металла и близость редокс-характеристик модельного металлокомплекса к характеристикам нативного фермента.
Публикации по теме:
- Majouga Alexander G., Beloglazkina Elena K., et al., Cleavage of the C-S bond with the formation of a binuclear copper complex with 2-thiolato-3-phenyl-5-(pyridine-2-ylmethylene)-3,5-dihydro-4H-imidazole-4-on. A new mimic of the active site of N2O reductase, Dalton Transactions, 2013, 42, 18, 6290-6293

- Elena K. Beloglazkina, Olga Yu. Kuznetsova, Alexander G. Majouga, et al. Copper(II) complex with (4Z,4Z')-1,1'-[disulfanediylbis(ethane-2,1-diyl)]-bis[2-methylthio-4-(pyridin-2-ylmethylidene)-1H-imidazol-5(4H)-one] onto a gold electrode surface - a catalyst of electrochemical reduction of nitrite in water solution. Mendeleev Communications, Vol. 24, 2014, 37-39

- Elena K. Beloglazkina, Alexander G. Majouga, Roman L. Antipin, et al. Novel copper(II) and cobalt(II) complexes with selenium substituted imidazolyl imines. The molecular and crystal structure of [N-(2-(phenylseleno)ethyl)-N-(imidazol-2-ylmethylene)amine]copper(II) dichloride Polyhedron, Vol. 50, 2013, 425-433

- Anastasia N. Chernysheva, Elena K. Beloglazkina, et al. CoII complex of N-[2-(phenylseleno)cyclohexyl]-N-(pyridin-2-ylmethylene)amine: synthesis, electrochemistry and catalysis oftriphenylphosphine and norbornene oxidation by nitrous oxide. Mendeleev Commun., 2012, 22, 70-72


Дипломные работы:
- Бунятов М.И. (2014 г) "Синтез и физико-химические исследования координационных соединений на основе тиоксоимидазолонов"
- Мянник К.А. (2012 г) "Новые селеносодержащие органические лиганды и их координационные соединения с Ni(II), Co(II), Cu(II)"
- Абдулаева Н. (2012 г) "Новые органические серосодержащие терпиридиновые лиганды: синтез, координационные свойства, адсорбция на поверхности наночастиц золота"
Кандидатские диссертации:
- Чернышева А.Н. (2011). "Синтез новых тио- и селенозамещенных аминов, иминов, индолов и имидазолонов и их исследование в реакциях комплексообразования"
- Манжелий Е.А. (2014). "Новые серосодержащие терпиридины с расширенной системой сопряжения и их координационные соединения с родием и рутением"
4. Теоретические и экспериментальные подходы для поиска новых металлсодержащих противоопухолевых препаратов. (доц. Мажуга А.Г., доц. Антипин Р.Л., нс Кузнецова О.Ю., нс Кучеров Ф.С., инж. Финько А.В., мнс Рудаковская П.Г. Комнаты 416, 432, 529, 533).
Целью исследования является дизайн, синтез и тестирование серий новых координационных соединений меди (кобальта, никеля) с органическими лигандами ряда амино, меркапто-, селенокси- и алкилимидазол-4-онов и имидазолин-4-онов. Проводится комплексное многоплановое исследование включающее установление соотношения строение координационного соединения - противоопухолевая активность и строение координационного соединения - механизм противоопухолевого действия в ряду координационных соединений меди. Совместно с кафедрой ХПС проводятся исследования в экспериментах in vitro и in vivo.
Публикации по теме:
- Alexander G. Majouga, Maria I. Zvereva, Maria P. Rubtsova, et al., Mixed Valence Copper(I,II) Binuclear Complexes with Unexpected Structure: Synthesis, Biological Properties and Anticancer Activity. J. Med. Chem., 2014, Vol. 57, № 14, P. 6252-6258.

- Yan A. Ivanenkov, Olga A. Dontsova, Alexander G. Majouga et al. Design, synthesis and biological evaluation of novel potent MDM2/p53 small-molecule inhibitors. Bioorganic and Medicinal Chemistry Letters, 2015, Vol. 25, № 2, P. 404-409

- Alexander G. Majouga, Anna V. Udina, Elena K. Beloglazkina, et al. Novel DNA fluorescence probes based on 2-thioxo-tetrahydro-4H-imidazol-4-ones: synthetic and biological studies. Tetrahedron Letters, 2012, 51-53

- Renata B. Romashkina, Elena K. Beloglazkina, Andrei N. Khlobystov, Alexander G. Majouga, et al. Copper(ii) coordination compounds as building blocks for the formation of gold nanoparticle dimmers. Mendeleev Communications, 2011, Vol. 21, 129-131

Дипломные работы:
- Петров Р.А. (2014 г) "Синтез новых классов ингибиторов бета-лактамаз"
- Жумекенов А.А. (2013 г) "Новые лиганды ряда терпиридина с расширенной системой сопряжения и координационные соединения на их основе"
- Красновская О.О. (2012 г) "Синтез новых флуоресцентных лигандов ряда 2-тиоксо-тетрагидро-4Н-имидазол-4-онов и координационных соединений Cu(II) на их основе"
- Волкова Н.В. (2012 г) "Синтез новых аурофильных N-, S- содержащих органических лигандов для модификации наночастиц золота"
Кандидатские диссертации:
- Ромашкина Р.Б. (2011). "Новые бифункциональные азотсодержащие органические лиганды: синтез, координационные свойства, адсорбция на поверхности золота".
- Юдина А.В. (2012). "Новые органические лиганды ряда 2-тиоксотетрагидро-4Н-имидазол-4-онов и 2-алкилтио-3,5-дигидро-4H-имидазол-4-онов и их координационные соединения с Cu(II). Синтез и физико-химическое исследование".
5. Химия конденсированных гетероциклов с мостиковыми атомами азота (профессор Теренин В.И., мнс Кабанова Е.В. Комната 407).
Публикации по темe:
- Terenin, V. I.; Galkin, M. V.; Kabanova, E. V.; et al.1-(trifluoromethyl)-3,4-dihydropyrrlo-[1,2-a]pyrazines: synthesis and reactions with O- and N-nucleopiles. Chemistry of Heterocycic Compounds, 2011, Vol. 46, 1271-1278
- Terenin, V. I.; Galkin, M. V.; Kabanova, E. V.; et al. Unexpected tandem condensation of 2-furonitriles with diethylenetriamine. Chemistry of Heterocycic Compounds, 2010, Vol. 46, 351-353
Курсы лекций, читаемые сотрудниками лаборатории:
- Биоорганическая химия (для студентов факультета фундаментальной медицины) - профессор Зык Н.В.
- Органическая химия (для студентов факультета наук о материалах) - профессор Юровская М.А.
- Органическая химия (для студентов факультета фундаментальной физико-химической инженерии) - профессор Белоглазкина Е.К.
- Органическая химия (для студентов биологического факультета) - профессор Теренин В.И.
- Органическая химия (для студентов 310 группы химического факультета) - доцент Мажуга А.Г.
- Органическая химия (для студентов физического факультета) - профессор Зык Н.В.
|